格密码学习笔记 1

格密码学习笔记

记录一下学习 LLL 算法,以 Regev 的讲义为主加上网上搜的其他资料,主要是 LLL ==

LLL 算法

算法目的

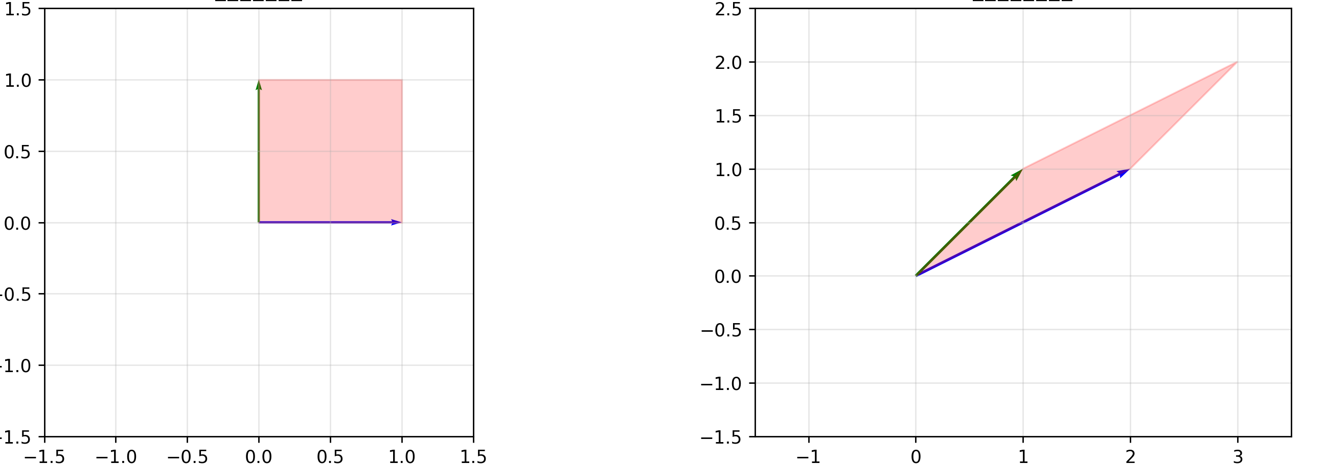
用于解决最短向量问题的多项式时间复杂度算法,目的简单说就是将坏基转化为好基

好基:

  • 向量短
  • 接近正交(垂直)

坏基:

  • 向量长
  • 接近平行

LLL 约简基

Gram-Schmidt 正交化

进行 δ-LLL 约基简的条件

σ = 3/4,bi 线性无关向量,上面有个~的是正交化后的正交向量,μi, j 是 bi 在 bj(正交化) 上的投影系数

尺寸约减(条件一)

第 i 个原始基向量 bi 在前个正交化向量 bj 上的投影系数 ui, j 的绝对值不超过二分之一, 目的是为了让基向量更接近正交

Lovász 条件(条件二)

正交化的第 i 个模长的平方的 σ 倍小于右边,给第 i+1 个正交化的向量规定了下限

因为 ~ b i 和 ~ b(i+1) 都进行了正交化,所以内积等于 0,两者和的平方就可以看作两者平方之和,

条件一 可以得到 u 小于 1/2,所以 u² 应该小于 1/4,所以比较小,~bi+1 的平方加上这个比较小的数大于等于 σ 倍 ~bi 的平方,所以 限制 ~bi+1 的长度不能太短

SVP 问题

最短向量问题(SVP):给定一个格 L,找到一个非零向量 v,使得对于格 L 中任意一个非零向量 u,都满足 ∥v∥≤∥u∥(即 v 是格中长度最短的非零向量)

近似CVP问题

cvp可定义搜索问题,优化问题和决策问题。

$$ (CVP_γ,搜索):在\mathcal{L}(B)里找一个点x,让x到t的距离,不超过格里其他点到t的距离的γ倍\\ (CVP_γ,优化):找一个数r,使得r属于最短距离和最短距离的γ倍之间\\ (CVP_γ,判断):给定一个数r,来判断最短距离 ≤ r|最短距离>γ⋅r $$ 上面γ≥1为近似因子。当γ=1时,为精确cvp问题

可以用babai算法解决CVP搜索问题,其中γ=2^n/2^

参考链接

LLL 格基约简算法(2) - 3cH0_Nu1L - 博客园

计算机科学中的格(2004 年秋季) — Lattices in Computer Science (Fall 2004)